2017-07-16
Półmaraton (21 km) poniżej 2 godzin!
Pokonałem pierwszy w życiu półmaraton. Jest rekord życiowy – plan został wykonany. Czas “grubo” poniżej 2 godzin – nie wyłączyłem endomondo na mecie stąd różnica. Mój oficjalny wynik to 1 godzina 57 minut i 2 sekundy. I miejsce 285… (475 zawodników). Dla mnie to był ekstremalny wysiłek, na granicy możliwości – chociaż na finiszu dałem radę ostro przyspieszyć. Wszystko ma jednak swoją cenę…
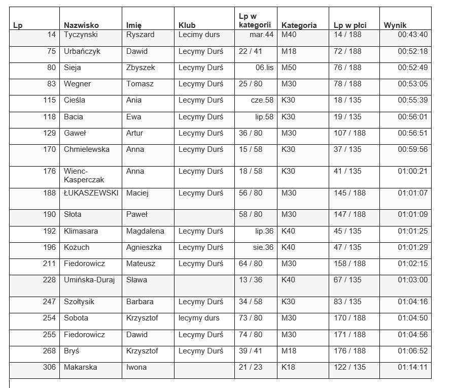
Z Nocną Dychą zmierzyła się za to Pani Prezydent. Sława Umińska-Duraj pokonała 10 kilometrów w godzinę i trzy minuty. Świetny czas, biorąc pod uwagę jak ciężko (ze względu na ogrom obowiązków) było się przygotować. No i kategorii kobiet prezydentów Sława była bezkonkurencyjna… Mnie oczywiście wyprzedzili koledzy z ościennych miast. Ale i tak zwyciężyliśmy, bo pokonaliśmy swoje słabości.

Warto wspomnieć, że trasa nie należała do łatwych. W Kozłowej Górze zaczynało się biec pod górę aż do Hubertusa, a później… było już tylko stromiej. Wszyscy, którzy biegli 10 km mogą się cieszyć, że nie musieli tego odcinka pokonywać drugi raz.
W biegu wystartowali m.in. Wojewoda Śląski Jarosław Wieczorek, Burmistrz Radzionkowa Gabriel Tobor, wiceprezydent Rudy Śląskiej Krzysztof Mejer. Pobiegli radni: Andrzej i Czesław Wymysło, na liście startowej widziałem także radnego Marka Szewczyka.
Fajne, biegowe święto – i impreza jakiej w Piekarach Śląskich jeszcze nie było. Nie wiem czy wiecie, ale to było ponad 900 uczestników!
Lecymy Durś – chyba dobrze się wszyscy zaprezentowaliśmy – dzięki za wspólny bieg, motywację na trasie i same pozytywne wrażenia. Cieszę się, że mamy tak fajną grupę i jestem jej członkiem.
Dobra… wracając do biegu. Nie umiem chodzić i Sława się ze mnie nabija. A przecież… dałem z siebie wszystko! I taka jest cena.
Dziękuję sympatycznej Pani, która uratowała mi życie na mecie. Złapał mnie taki skurcz łydki, że pozostało mi tylko wyć do księżyca. I wtedy pojawiła się Ona. Szybko i sprawnie rozciągnęła i rozmasowała mięsień, który odmówił posłuszeństwa. Dziękuję pięknie także paniom masażystkom, na których stole spędziłem później trochę czasu – dzięki Wam jest szansa, że rano wstanę z łóżka.
Szczególne podziękowania należą się publiczności – każdy Wasz okrzyk: “Krzychu”, “Turzański” czy “prezydent” motywował mnie do walki z samym sobą i czasem. Jesteście wspaniali i stworzyliście świetną atmosferę na tej imprezie. W Kozłowej Górze, na Józefce, na Osiedlu Wieczorka… byliście wszędzie! Dzięki wielkie. Sukces tej imprezy to także Wasza zasługa.
Michał… Gdyby nie Ty, pewnie nie podjąłbym w ogóle tego wyzwania. Dziękuję za wszystko! Za buty, za rady, za wsparcie. I za to, że nie dałeś rywalom złudzeń, kto rządzi w Piekarach Śląskich. Szanowni Państwo – bieg wygrali mistrzowie, rzeźnicy – Szymon Knobloch (miejsce pierwsze) i Michał Kaszuba (miejsce drugie). Bardzo dobry wynik “wykręcił” także Darek Gacek. Będzie czas to wszystko opisać dokładnie – teraz piszę na gorąco, w środku nocy.
Dziękuję organizatorom – nie umiem tego ocenić, ale wszyscy uczestnicy podkreślali dobrą organizację. Nie zajmowałem się tym biegiem i zaskoczył mnie rozmach, z jakim to wszystko się odbyło. I wyczerpany limit miejsc! SUKCES. Świetną robotę wykonał SZTURM i MOSiR. Dziękuję wszystkim służbom i wolontariuszom za ciężką pracę i zabezpieczenie imprezy.
Dziękuję mieszkańcom za wyrozumiałość i przepraszam za niedogodności. Każde takie wydarzenie wiąże się z utrudnieniami. Taką imprezę organizowaliśmy po raz pierwszy, nie ustrzegliśmy się wpadek, które mam nadzieję, w przyszłym roku wyeliminujemy.
Jeśli zapomniałem o czymś napisać, to proszę pamiętać, że jest środek nocy, a ja jestem po ciężkim biegu i należy mi się taryfa ulgowa. Będą zdjęcia, film – na pewno będzie okazja coś jeszcze skrobnąć. A jakby co? Lecymy Durś!
WYNIKI KLASYFIKACJI GENERALNEJ
PS. O dziwo dziś rano nie jest już tak źle. Nie kuśtykam, tylko chodzę, a bolą mnie właściwie tylko łydki. To wszystko dzięki Paniom. Dzięki!
Komentarze
Uwaga! Dyskusja jest moderowana raz dziennie (zwykle rano) - komentarze nie pojawiają się od razu w momencie publikacji. Komentarze nie związane z tematem posta, obraźliwe, wulgarne nie są publikowane. Jeśli nie widzisz swojego komentarza sprawdź MOJE ZASADY i REGULAMIN
GRATULACJE !!
Dla wszystkich uczestników, czapki z głów.
Mało jednak piekarzan w tej jakże licznej grupie. Zacna inicjatywa, oby biegi odbywały się regularnie, jak np. masa krytyczna 🙂
Jakiś szczególnych trudności w dotarciu do/z domu też nie zauważyłam, więc nie wiem o co ta cała burza była.
Zastanawia tylko jedna, dlaczego zarówno przy Pani Prezydent jak i przy Panu zastępcy nie widnieje miejscowość PIEKARY ŚLĄSKIE ???
Też mnie to zirytowało 🙂
Gratulacje! To cieszy – mieć Prezydentów, którzy nie tylko za biurkiem 😉
graty, 20 kilosów to już dla amatora kosmos, może za rok dam radę na dyszkę…
Gratulacje za pokonanie swoich słabości, żałuję że nie mogłem być chociażby jako kibic na wydarzeniu, ale wszystko wskazuje na to, że za rok znów będzie.
Mam pytanie też o Rodzinny Rajd Rowerowy, czy jest przewidywany w tym roku, a może już był i pamięć nie ta?